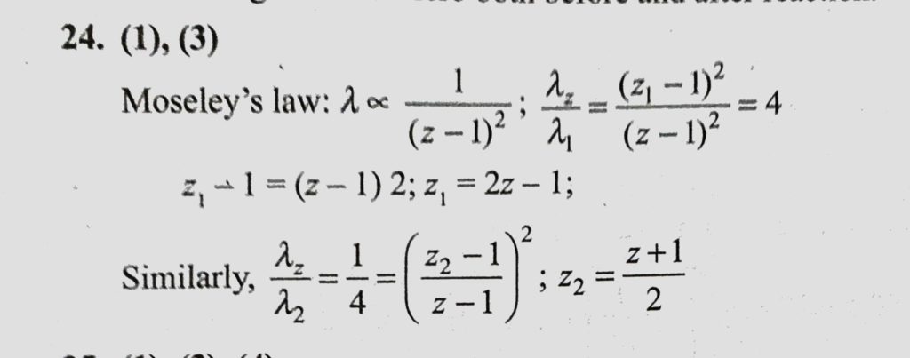
X-ray from a tube with a target A of atomic number Z shows strong K lines for target A and weak K lines for impurities. The wavelength of K alpha lines is lemda z for target A and lemda 1 and lemda 2 X-ray from a tube with a target A of atomic number Z shows strong K lines for target A and weak K lines for impurities. The wavelength of K alpha lines is lemda z for target A and lemda 1 and lemda 2 October 16, 2020 Category: Uncategorised (JEE Advanced Physics by BM Sharma + GMP Solutions) , Facebook Messenger WhatsApp Share this:TwitterFacebook Related