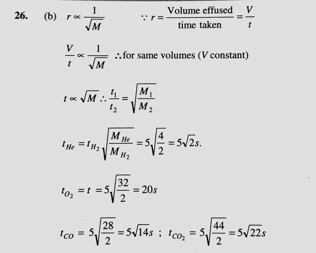
X ml of H2 gas effuses through a hole in a container in 5 seconds. The time takes for the effusion of the same volume of the gas specified below under identical condition is X ml of H2 gas effuses through a hole in a container in 5 seconds. The time takes for the effusion of the same volume of the gas specified below under identical condition is February 12, 2021 Category: Uncategorised (JEE Advanced Physics by BM Sharma + GMP Solutions) , Facebook Messenger WhatsApp Share this:TwitterFacebook Related