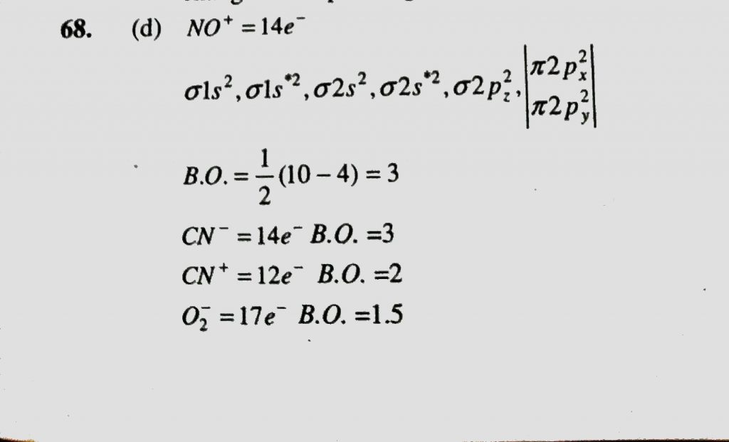
Which one of the following pairs of species have the same bond order (a) CN^- and CN^+ (b) O2^- and CN^- (c) NO^+ and CN^+ (d) CN^- and No^+ Which one of the following pairs of species have the same bond order (a) CN^- and CN^+ (b) O2^- and CN^- (c) NO^+ and CN^+ (d) CN^- and No^+ December 8, 2020 Category: Uncategorised (JEE Advanced Physics by BM Sharma + GMP Solutions) , Facebook Messenger WhatsApp Share this:TwitterFacebook Related