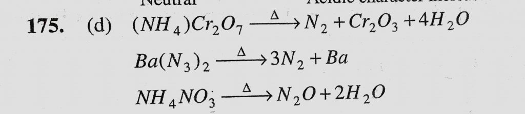
Which of the following(s) when heated give nitrogen gas (a) (NH4)2Cr2O7 (b) Ba(N3)2 (c) NH4NO3 (d) Both (a) and (b) Which of the following(s) when heated give nitrogen gas (a) (NH4)2Cr2O7 (b) Ba(N3)2 (c) NH4NO3 (d) Both (a) and (b) November 23, 2020 Category: Uncategorised (JEE Advanced Physics by BM Sharma + GMP Solutions) , Facebook Messenger WhatsApp Share this:TwitterFacebook Related