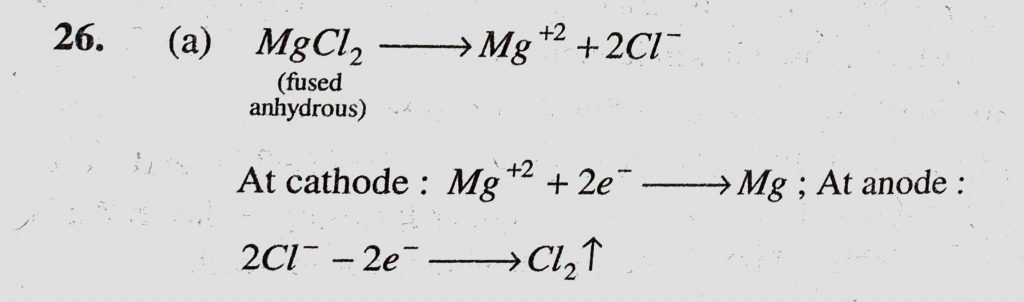
Which of the following process is used in the extractive metallurgy of magnisium (a) Fused salt electrolysis (b) Self reduction (c) Aqueous solution electrolysis Which of the following process is used in the extractive metallurgy of magnisium (a) Fused salt electrolysis (b) Self reduction (c) Aqueous solution electrolysis November 12, 2020 Category: Uncategorised (JEE Advanced Physics by BM Sharma + GMP Solutions) , Facebook Messenger WhatsApp Share this:TwitterFacebook Related