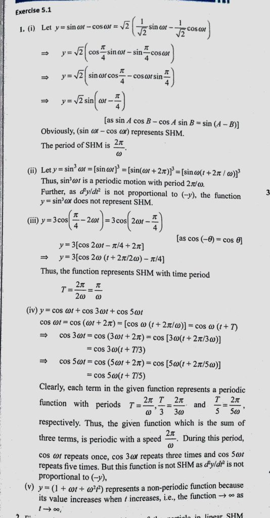
Which of the following functions of time represent (a) Simple harmonic, (b) Periodic but not simple harmonic, and (c) Non-periodic motion? Give period for each case of (b) Periodic but not simple harmonic and (c) Non-periodic motion? Give period for each case of Which of the following functions of time represent (a) Simple harmonic October 30, 2020 Category: Uncategorised (JEE Advanced Physics by BM Sharma + GMP Solutions) , Facebook Messenger WhatsApp Share this:TwitterFacebook Related