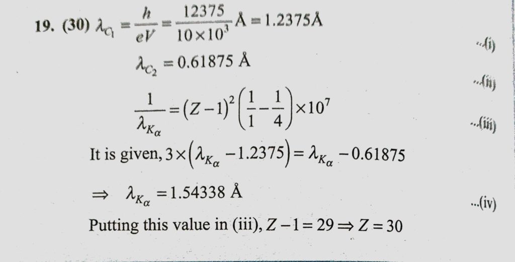
When the voltage applied to an X-ray tube is increased from 10 kV to 20 kV, the wavelength interval between the K alpha line and the short wave cut off of the continuous X–ray spectrum increases the wavelength interval between the K alpha line and the short wave cut off of the continuous X--ray spectrum increases When the voltage applied to an X-ray tube is increased from 10 kV to 20 kV October 16, 2020 Category: Uncategorised (JEE Advanced Physics by BM Sharma + GMP Solutions) , Facebook Messenger WhatsApp Share this:TwitterFacebook Related