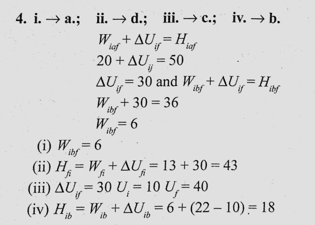
When a sample of a gas is taken from state f along path iaf, heat supplied to the gas is 50 cal and work done by the gas is 20 cal. If it is taken by path ibf, then heat supplied is 36 cal. heat supplied to the gas is 50 cal and work done by the gas is 20 cal. If it is taken by path ibf then heat supplied is 36 cal. When a sample of a gas is taken from state f along path iaf October 29, 2020 Category: Uncategorised (JEE Advanced Physics by BM Sharma + GMP Solutions) , Facebook Messenger WhatsApp Share this:TwitterFacebook Related