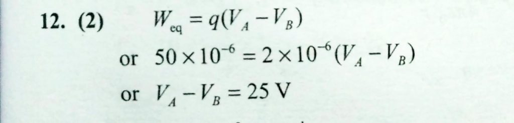
When a 2 muC charge is carried from pooint A to point B , the amount of work done by the electric field is 50 uJ. what is the potential difference and which point is at a higher potential ? the amount of work done by the electric field is 50 uJ. what is the potential difference and which point is at a higher potential ? When a 2 muC charge is carried from pooint A to point B November 5, 2020 Category: Uncategorised (JEE Advanced Physics by BM Sharma + GMP Solutions) , Facebook Messenger WhatsApp Share this:TwitterFacebook Related