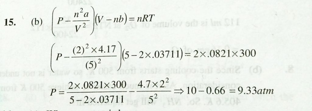
What is the pressure of 2 mole of NH3 at 27 degree C when its volume is 5 litre in Vander Waal’s equation (a = 4.17 , b = 0.03711 ) b = 0.03711 ) What is the pressure of 2 mole of NH3 at 27 degree C when its volume is 5 litre in Vander Waal's equation (a = 4.17 February 12, 2021 Category: Uncategorised (JEE Advanced Physics by BM Sharma + GMP Solutions) , Facebook Messenger WhatsApp Share this:TwitterFacebook Related