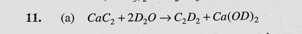
What is formed when calcium carbide reacts with heavy water (a) C2D2 (b) CaD2 (c) Ca2D20 (d) CD2 What is formed when calcium carbide reacts with heavy water (a) C2D2 (b) CaD2 (c) Ca2D20 (d) CD2 November 13, 2020 Category: Uncategorised (JEE Advanced Physics by BM Sharma + GMP Solutions) , Facebook Messenger WhatsApp Share this:TwitterFacebook Related