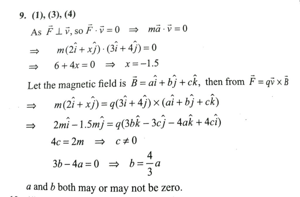
Velocity and acceleration vector of a charged particle moving in a magnetic field at some instant are v = 3 i + 4 j and a = 2i + xj. Select the correct options: Velocity and acceleration vector of a charged particle moving in a magnetic field at some instant are v = 3 i + 4 j and a = 2i + xj. Select the correct options: October 14, 2020 Category: Uncategorised (JEE Advanced Physics by BM Sharma + GMP Solutions) , Facebook Messenger WhatsApp Share this:TwitterFacebook Related