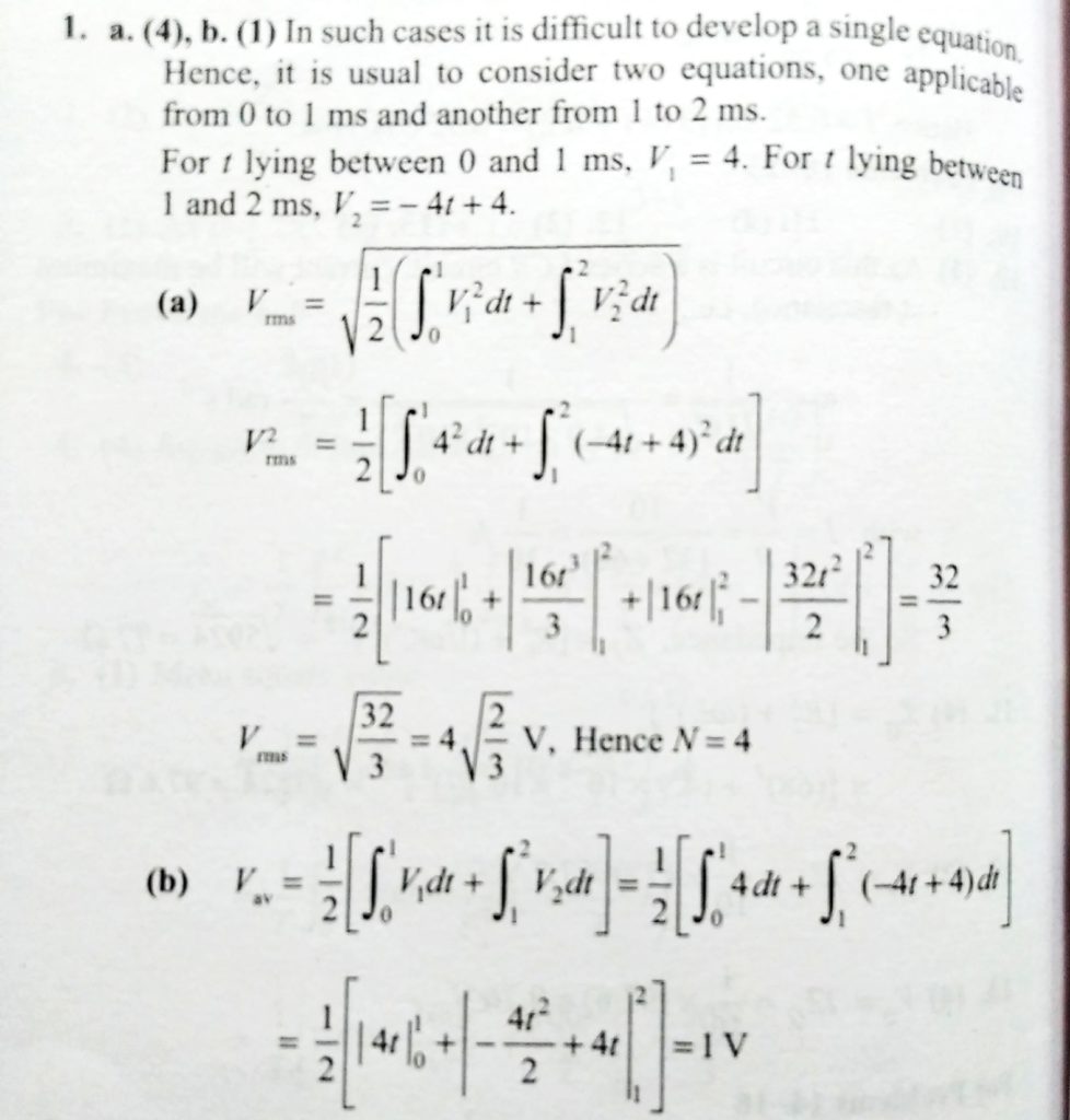
Variation of voltage with time is shown in figure.(a) The rms voltage is found to be N root 2/3 V. Find N. (b) Also calculate the average value of voltage in ( V ). Variation of voltage with time is shown in figure.(a) The rms voltage is found to be N root 2/3 V. Find N. (b) Also calculate the average value of voltage in ( V ). October 28, 2020 Category: Uncategorised (JEE Advanced Physics by BM Sharma + GMP Solutions) , Facebook Messenger WhatsApp Share this:TwitterFacebook Related