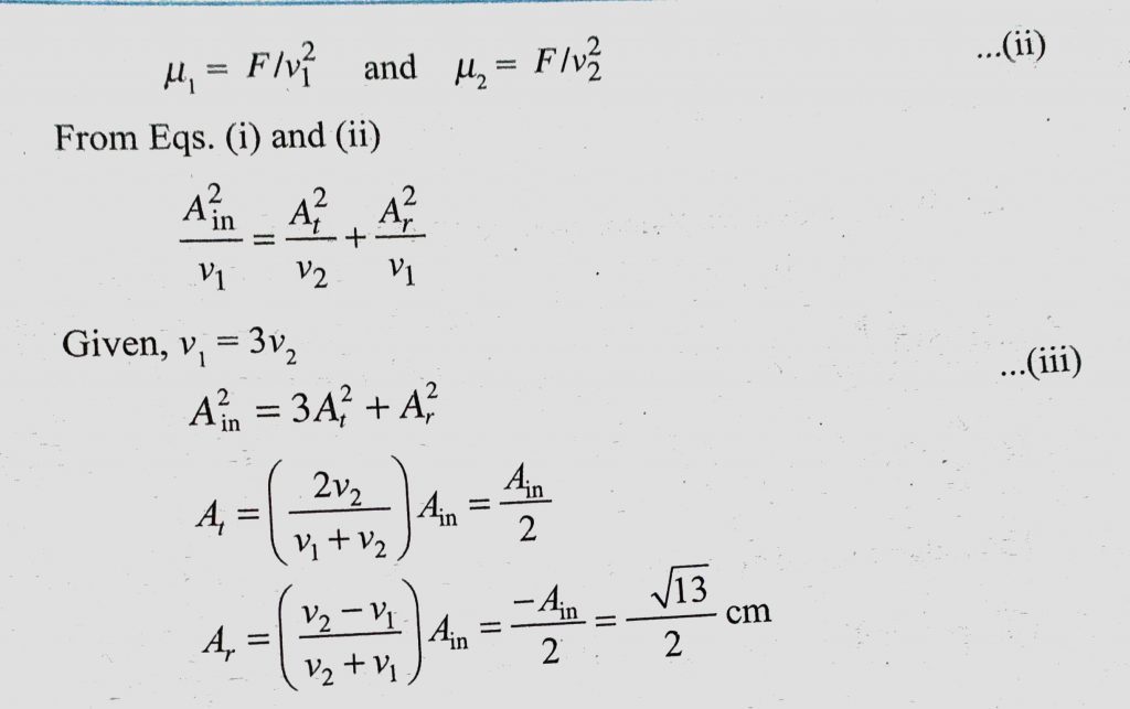
Two wires of different linear mass density are soldered together end to end and then stretched under a tension F. The wave speed in the first wire is thrice that in the second. Two wires of different linear mass density are soldered together end to end and then stretched under a tension F. The wave speed in the first wire is thrice that in the second. November 5, 2020 Category: Uncategorised (JEE Advanced Physics by BM Sharma + GMP Solutions) , Facebook Messenger WhatsApp Share this:TwitterFacebook Related