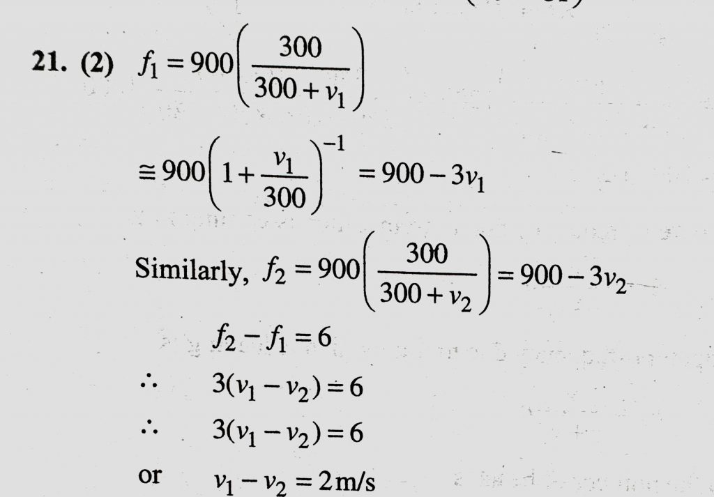
Two sound sources are moving in opposite directions with velocities v1 and v2 (v1 > v2). Both are moving away from a stationary observer. The frequency of both the sources is Two sound sources are moving in opposite directions with velocities v1 and v2 (v1 > v2). Both are moving away from a stationary observer. The frequency of both the sources is November 7, 2020 Category: Uncategorised (JEE Advanced Physics by BM Sharma + GMP Solutions) , Facebook Messenger WhatsApp Share this:TwitterFacebook Related