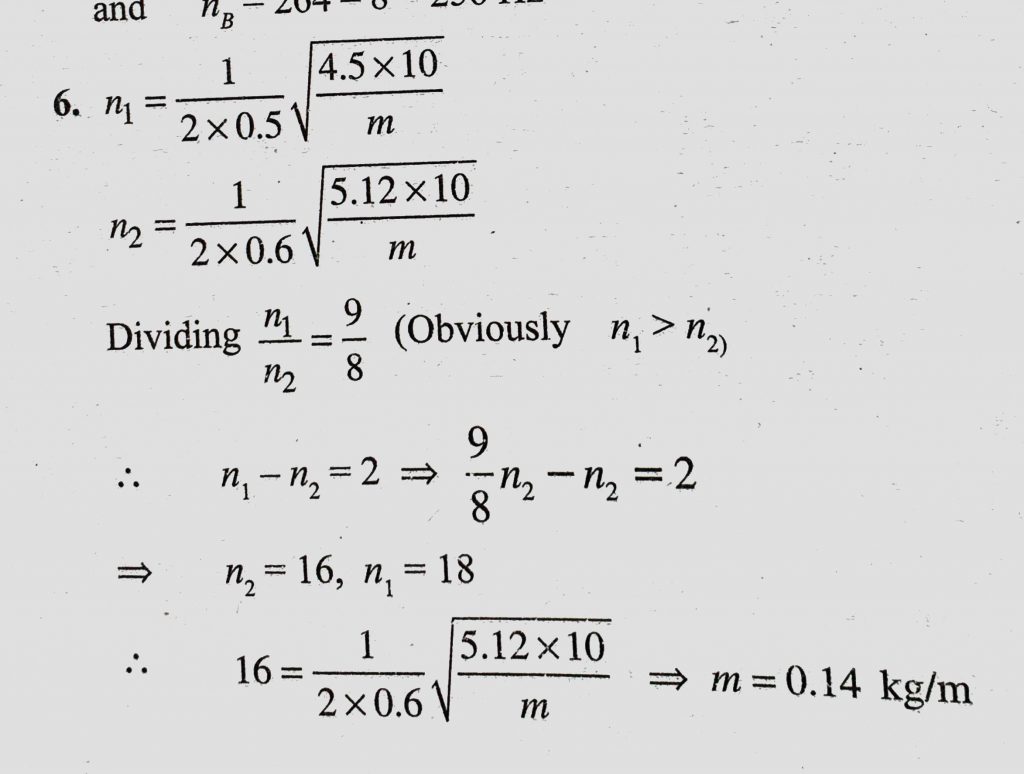
Two sonometer wires of the same material and cross-section are of lengths 50 cm and 60 cm and are stretched by tensions of 4.5 kg and 5.12 kg, respectively. If the number of beats respectively. If the number of beats Two sonometer wires of the same material and cross-section are of lengths 50 cm and 60 cm and are stretched by tensions of 4.5 kg and 5.12 kg November 5, 2020 Category: Uncategorised (JEE Advanced Physics by BM Sharma + GMP Solutions) , Facebook Messenger WhatsApp Share this:TwitterFacebook Related