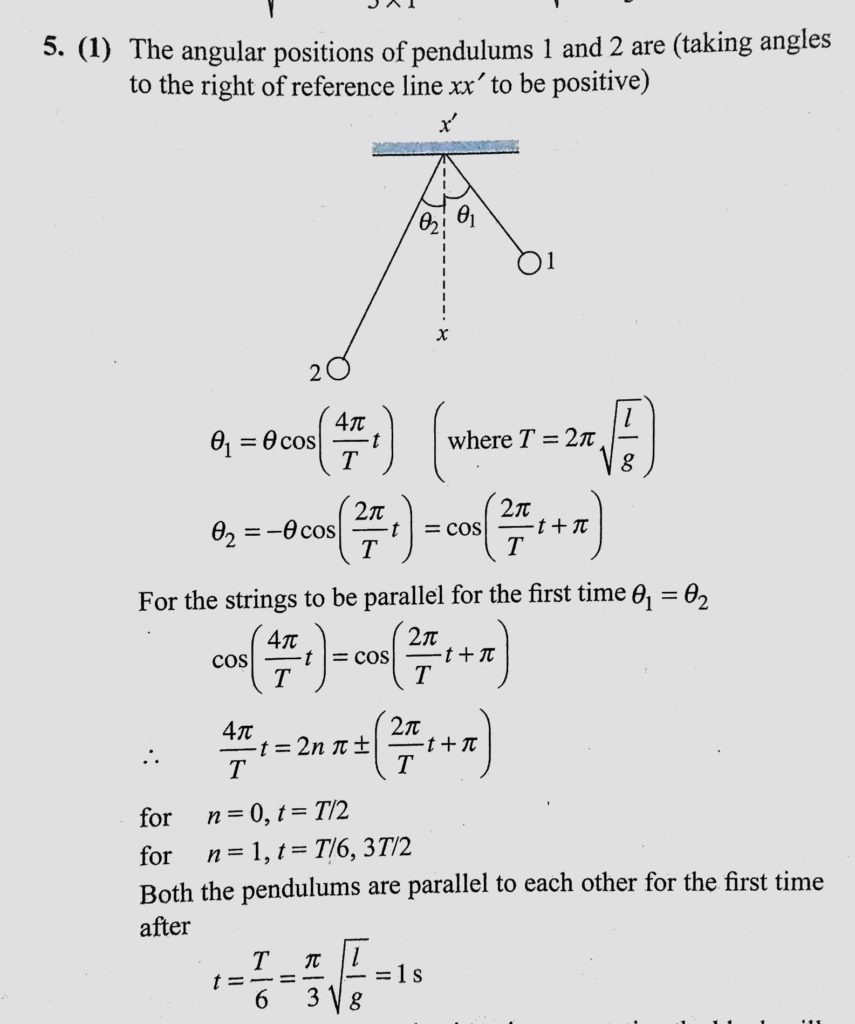
Two simple pendulums A and B having lengths l and l/4, respectively are released from the position as shown in the following figure. Calculate the time (in seconds) after which the respectively are released from the position as shown in the following figure. Calculate the time (in seconds) after which the Two simple pendulums A and B having lengths l and l/4 October 31, 2020 Category: Uncategorised (JEE Advanced Physics by BM Sharma + GMP Solutions) , Facebook Messenger WhatsApp Share this:TwitterFacebook Related