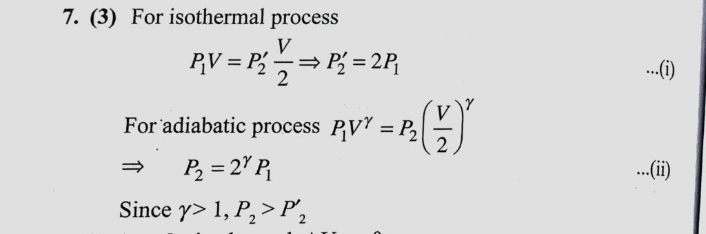
Two samples A and B of a gas initially at the same pressure and temperature are compressed from volume V to V/2 ( A isothermally and B adiabatically). The final pressure of A is Two samples A and B of a gas initially at the same pressure and temperature are compressed from volume V to V/2 ( A isothermally and B adiabatically). The final pressure of A is October 28, 2020 Category: Uncategorised (JEE Advanced Physics by BM Sharma + GMP Solutions) , Facebook Messenger WhatsApp Share this:TwitterFacebook Related