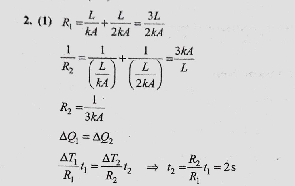
Two rectangular blocks, having identical dimensions, can be arranged either in configuration 1 or in configuration 2 as shown in the figure. One of the blocks has thermal conductivity k can be arranged either in configuration 1 or in configuration 2 as shown in the figure. One of the blocks has thermal conductivity k having identical dimensions Two rectangular blocks October 27, 2020 Category: Uncategorised (JEE Advanced Physics by BM Sharma + GMP Solutions) , Facebook Messenger WhatsApp Share this:TwitterFacebook Related