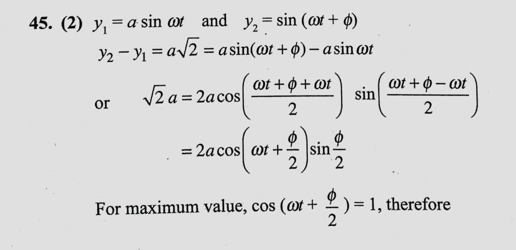
Two particles P and Q describe SHM of same amplitude a and frequency v along the same straight line. The maximum distance between the two particles is root 2 a. The initial phase Two particles P and Q describe SHM of same amplitude a and frequency v along the same straight line. The maximum distance between the two particles is root 2 a. The initial phase October 31, 2020 Category: Uncategorised (JEE Advanced Physics by BM Sharma + GMP Solutions) , Facebook Messenger WhatsApp Share this:TwitterFacebook Related