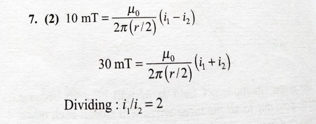
Two parallel, long wires carry currents i1 and i2 with i1>i2. When the currents are in the same direction, the magnetic field at a point midway between the wires is 10mu T. If the direction of i2 is reversed, the field becomes 30 mu T . The ration i1/i2 is

