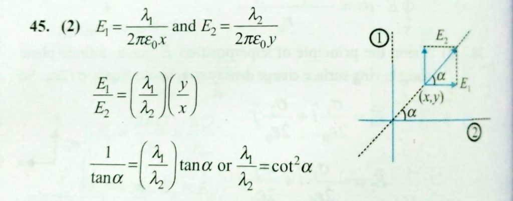
Two mutually perpendicular wire carry charges densities lamda 1 and lamda 2. The electric lines of force makes angle alpha with second wire, then lamda1/ lamda2 is then lamda1/ lamda2 is Two mutually perpendicular wire carry charges densities lamda 1 and lamda 2. The electric lines of force makes angle alpha with second wire October 31, 2020 Category: Uncategorised (JEE Advanced Physics by BM Sharma + GMP Solutions) , Facebook Messenger WhatsApp Share this:TwitterFacebook Related