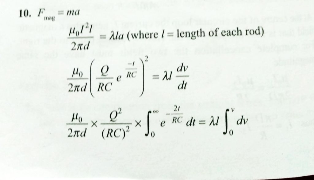
Two long conducting rods suspended by means of two insulating threads as shown in Fig. are connected at one end to a charged capacitor through a switch S, which initially open. At the other end , they are connected by a loose wire. The capacitor has charge Q and mass per unit length of the rod is λ. The effective resistance of the circuit after closing the switch is R. Find the velocity of each rod when the capacitor is discharged after closing the switch. (Assume that the displacement of rods during the discharging time is negligible.)


