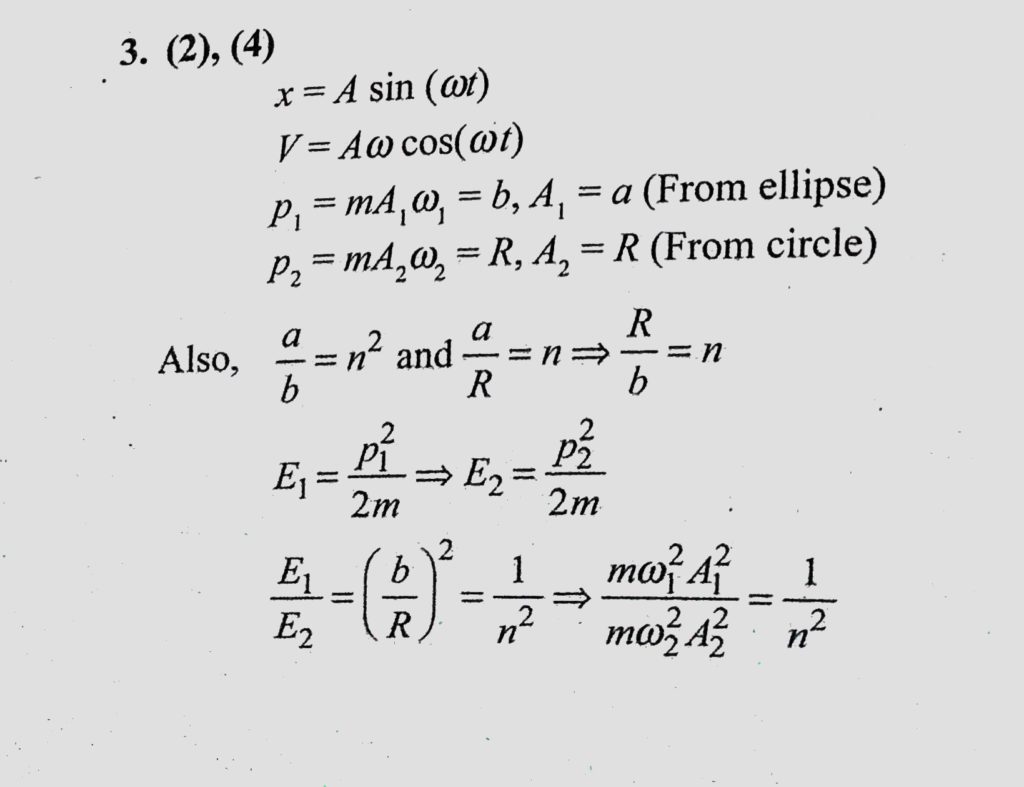
Two independent harmonic oscillators of equal mass are oscillating about the origin with angular frequencies omega 1 and omega 2 and have total energies E1 and E2 respectively. Two independent harmonic oscillators of equal mass are oscillating about the origin with angular frequencies omega 1 and omega 2 and have total energies E1 and E2 respectively. November 1, 2020 Category: Uncategorised (JEE Advanced Physics by BM Sharma + GMP Solutions) , Facebook Messenger WhatsApp Share this:TwitterFacebook Related