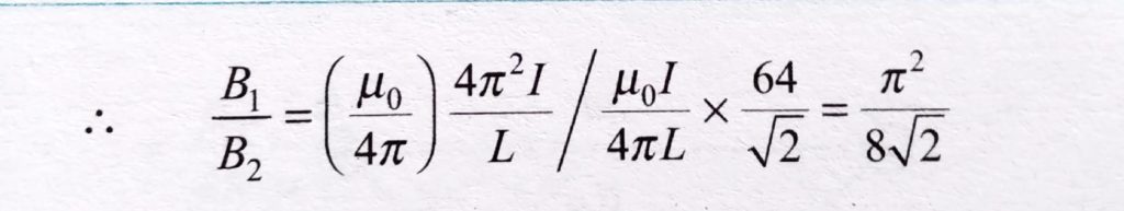
Two identical wires A and B have the same length l and carry the same current I. Wire A is bent into a circle of radius R and wire B is bent to form a square of side a. If B1 and B2 are the values of magnetic induction at the centre of the circle and the centre of the square, respectively, then the ratio B1/B2 is


