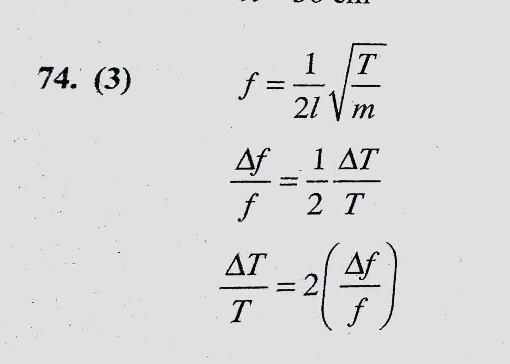
Two identical sonometer wires have a fundamental frequency of 500 Hz when kept under the same tension. The percentage change in tension of one of the wires that would Two identical sonometer wires have a fundamental frequency of 500 Hz when kept under the same tension. The percentage change in tension of one of the wires that would November 6, 2020 Category: Uncategorised (JEE Advanced Physics by BM Sharma + GMP Solutions) , Facebook Messenger WhatsApp Share this:TwitterFacebook Related