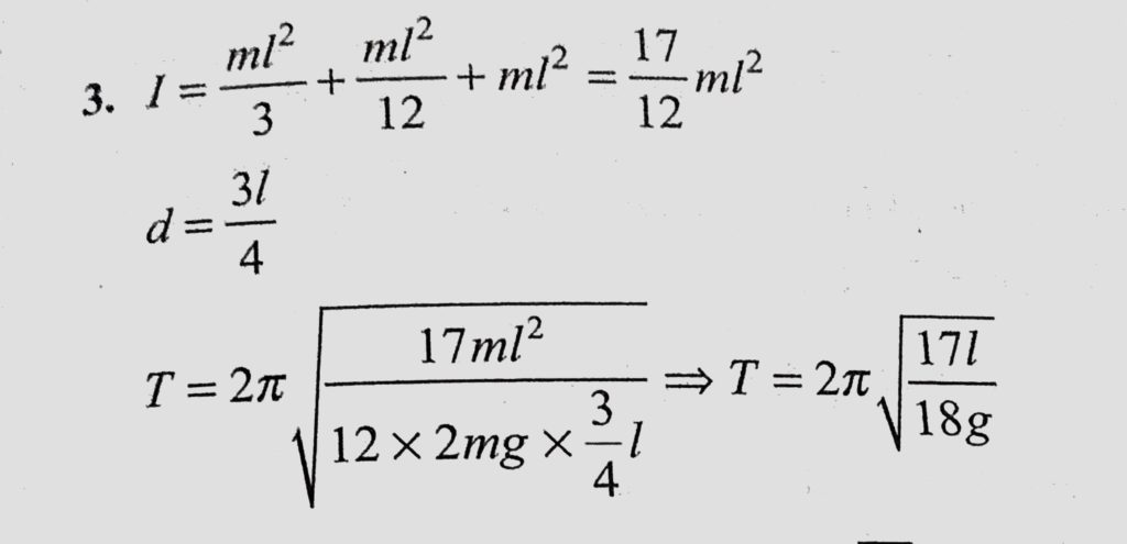
Two identical rods each of mass m and length L, are rigidly joined and then suspended in a vertical plane so as to oscillate freely about an axis normal to the plane of paper passing are rigidly joined and then suspended in a vertical plane so as to oscillate freely about an axis normal to the plane of paper passing Two identical rods each of mass m and length L October 30, 2020 Category: Uncategorised (JEE Advanced Physics by BM Sharma + GMP Solutions) , Facebook Messenger WhatsApp Share this:TwitterFacebook Related