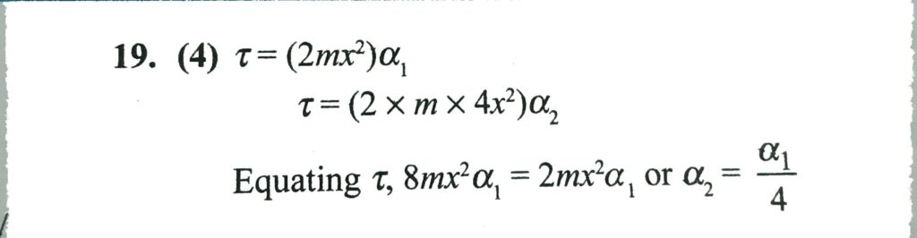
Two identical masses are connected to a horizontal thin massless rod as shown in the figure. When their distance from the pivot is x, a torque produces an angular acceleration α1. If the masses are now repositioned so that they are at distance 2x each from the pivot, the same torque will produce an angular acceleration α2 such that ,

