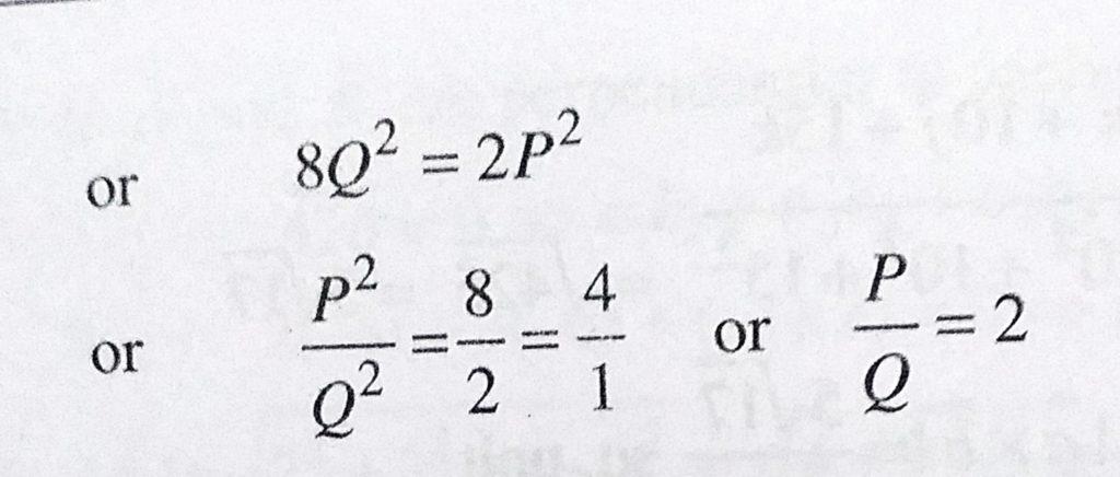
Two forces of magnitudes P and Q are inclined at an angle theta. The magnitude of their resultant is 3Q. When the inclination is changed to (180 – theta), the magnitude of the resultant the magnitude of the resultant Two forces of magnitudes P and Q are inclined at an angle theta. The magnitude of their resultant is 3Q. When the inclination is changed to (180 - theta) September 17, 2020 Category: Uncategorised (JEE Advanced Physics by BM Sharma + GMP Solutions) , Facebook Messenger WhatsApp Share this:TwitterFacebook Related