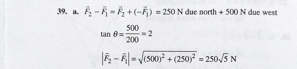
Two forces F1 = 500 N due east and F2 = 250 N due north have their common initial point. F2 – F1 is Two forces F1 = 500 N due east and F2 = 250 N due north have their common initial point. F2 - F1 is September 17, 2020 Category: Uncategorised (JEE Advanced Physics by BM Sharma + GMP Solutions) , Facebook Messenger WhatsApp Share this:TwitterFacebook Related