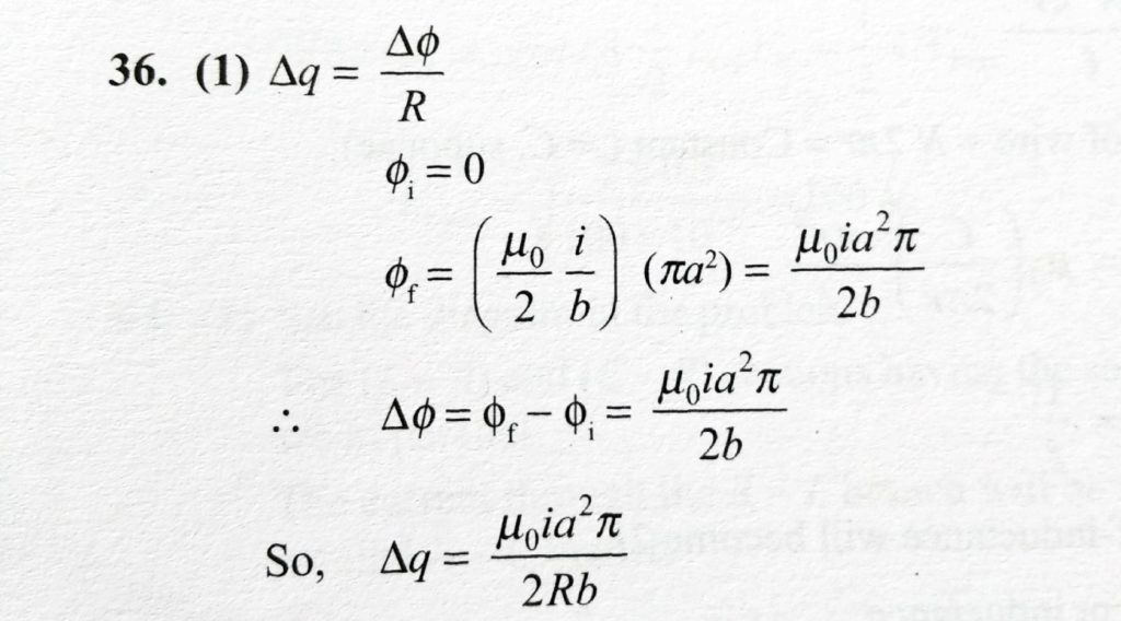
Two concentric and coplanar coils have redii a and b(>>a) as shows in Fig. Resistance of the inner coil is R. Current in the outer coil in increased from 0 to i, then the total charge circulating the inner coil is then the total charge circulating the inner coil is Two concentric and coplanar coils have redii a and b(>>a) as shows in Fig. Resistance of the inner coil is R. Current in the outer coil in increased from 0 to i October 22, 2020 Category: Uncategorised (JEE Advanced Physics by BM Sharma + GMP Solutions) , Facebook Messenger WhatsApp Share this:TwitterFacebook Related