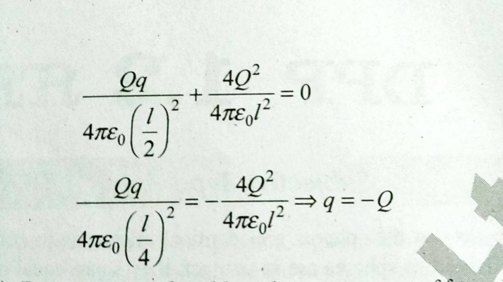
Two charges +4e and +e are at a distance x apart. At what distannce, a charge q must be placed from charge +e so that it is in equilibrium a charge q must be placed from charge +e so that it is in equilibrium Two charges +4e and +e are at a distance x apart. At what distannce September 15, 2020 Category: Uncategorised (JEE Advanced Physics by BM Sharma + GMP Solutions) , Facebook Messenger WhatsApp Share this:TwitterFacebook Related