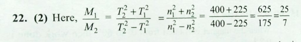
Two bar magnets placed with with their similar poles together makes 20 vib/min. When one of thenm is reversed the number of vibrations become 15 vib/min. what is the ratio of their dipole moment ? Two bar magnets placed with with their similar poles together makes 20 vib/min. When one of thenm is reversed the number of vibrations become 15 vib/min. what is the ratio of their dipole moment ? October 18, 2020 Category: Uncategorised (JEE Advanced Physics by BM Sharma + GMP Solutions) , Facebook Messenger WhatsApp Share this:TwitterFacebook Related