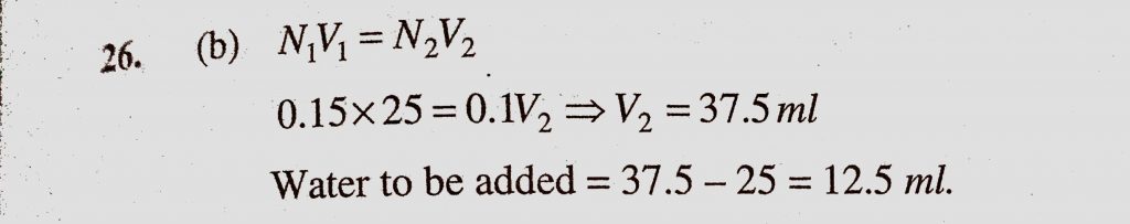
To change the strength of 25 ml of 0.15 M HCl to 0.1 M the quantity of water that is to be added is To change the strength of 25 ml of 0.15 M HCl to 0.1 M the quantity of water that is to be added is December 7, 2020 Category: Uncategorised (JEE Advanced Physics by BM Sharma + GMP Solutions) , Facebook Messenger WhatsApp Share this:TwitterFacebook Related