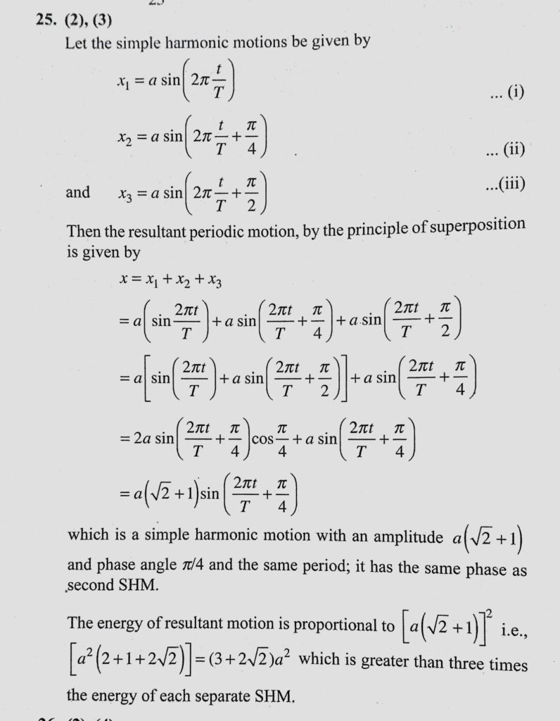
Three simple harmonic motions in the same direction, each of amplitude ‘a’ and periodic time ‘T’, are superposed. The first and second, and the second and third differ in phase and the second and third differ in phase are superposed. The first and second each of amplitude 'a' and periodic time 'T' Three simple harmonic motions in the same direction October 31, 2020 Category: Uncategorised (JEE Advanced Physics by BM Sharma + GMP Solutions) , Facebook Messenger WhatsApp Share this:TwitterFacebook Related