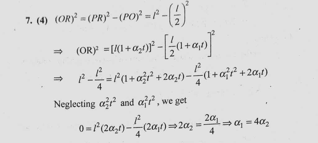
Three rods of equal length l are joined to form an equilateral triangle PQR. O is the mid point of PQ. Distance OR remains the same for small change in temperature. Coefficient of Three rods of equal length l are joined to form an equilateral triangle PQR. O is the mid point of PQ. Distance OR remains the same for small change in temperature. Coefficient of October 24, 2020 Category: Uncategorised (JEE Advanced Physics by BM Sharma + GMP Solutions) , Facebook Messenger WhatsApp Share this:TwitterFacebook Related