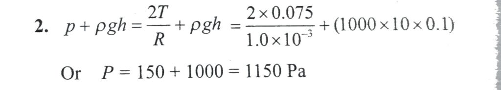
There is an air bubble of radius 1.0 mm in a liquid of surface tension 0.075 N/m and density 1000 kg/m^3 . The bubble is at a depth of 10.0 cm below the free surface of a liquid. By what amount is the pressure inside the bubble greater than the atmospheric pressure?

