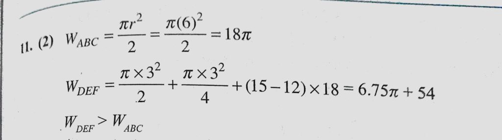
There are two processes ABC and DEF. In which of the process is the amount of work done by the gas greater ? There are two processes ABC and DEF. In which of the process is the amount of work done by the gas greater ? October 28, 2020 Category: Uncategorised (JEE Advanced Physics by BM Sharma + GMP Solutions) , Facebook Messenger WhatsApp Share this:TwitterFacebook Related