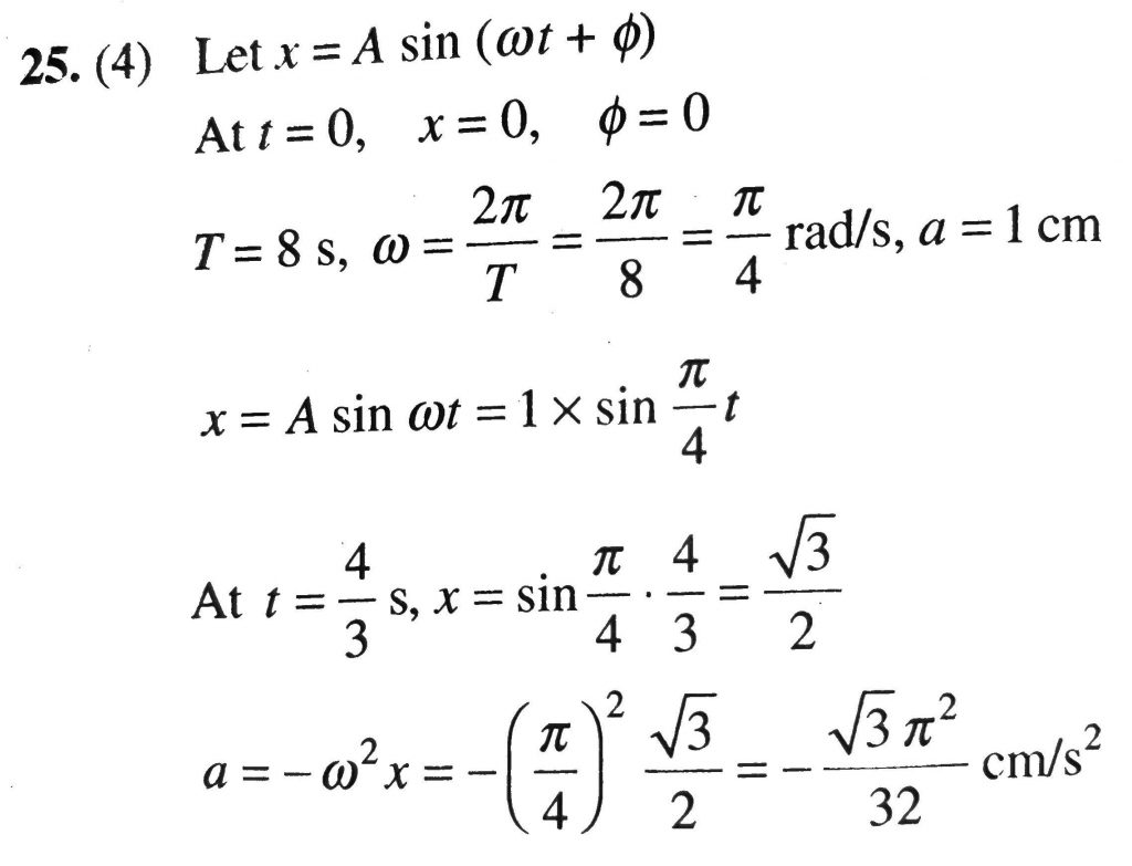
The (x – t) graph of a particle undergoing simple harmonic motion is shown below. The acceleration of the particle at t=4/3s is The (x - t) graph of a particle undergoing simple harmonic motion is shown below. The acceleration of the particle at t=4/3s is December 7, 2020 Category: Uncategorised (JEE Advanced Physics by BM Sharma + GMP Solutions) , Facebook Messenger WhatsApp Share this:TwitterFacebook Related