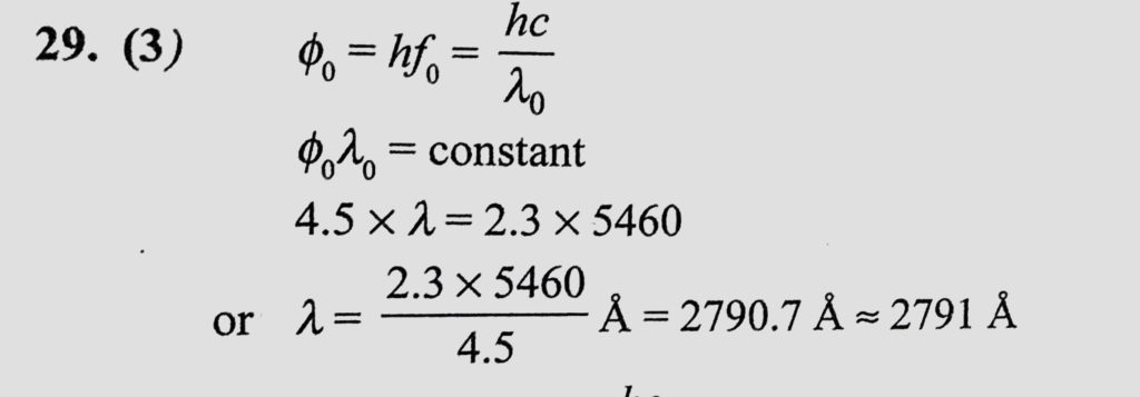
The work functions for tungsten and sodium are 4.5 eV and 2.3 eV, respectively. If the threshold wavelength lemda for sodium is 5460 A, the value of lemda for tungsten is respectively. If the threshold wavelength lemda for sodium is 5460 A the value of lemda for tungsten is The work functions for tungsten and sodium are 4.5 eV and 2.3 eV October 14, 2020 Category: Uncategorised (JEE Advanced Physics by BM Sharma + GMP Solutions) , Facebook Messenger WhatsApp Share this:TwitterFacebook Related