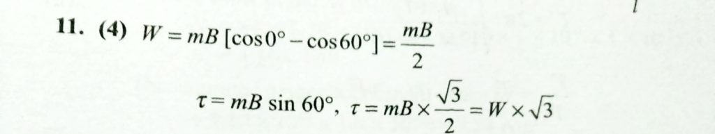
The work done to turn a magnet by 60 degree from its equilibrium position is W in a uniform field. THe torque required to hold it in that position will be The work done to turn a magnet by 60 degree from its equilibrium position is W in a uniform field. THe torque required to hold it in that position will be October 18, 2020 Category: Uncategorised (JEE Advanced Physics by BM Sharma + GMP Solutions) , Facebook Messenger WhatsApp Share this:TwitterFacebook Related