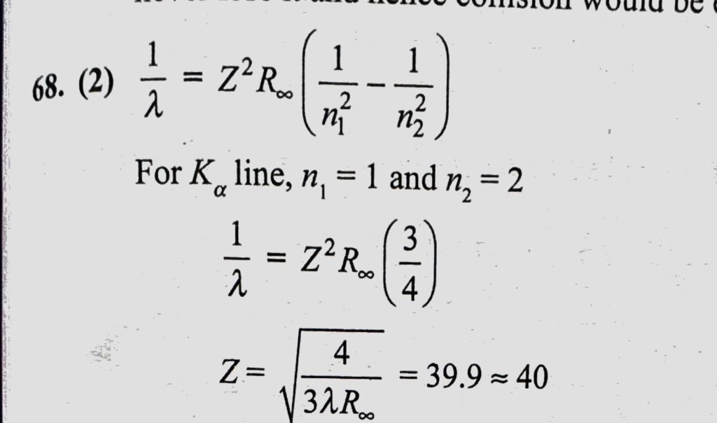
The wavelength K alpha of X-rays produced by the X-ray tube is 0.76 A. The atomic number of the node material of the tube is The wavelength K alpha of X-rays produced by the X-ray tube is 0.76 A. The atomic number of the node material of the tube is October 16, 2020 Category: Uncategorised (JEE Advanced Physics by BM Sharma + GMP Solutions) , Facebook Messenger WhatsApp Share this:TwitterFacebook Related