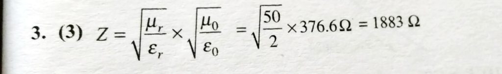
The wave impedance of free space is (1) 0 omega (2) 376.6 omega (3) 1883 omega (4) 3776 omega The wave impedance of free space is (1) 0 omega (2) 376.6 omega (3) 1883 omega (4) 3776 omega October 28, 2020 Category: Uncategorised (JEE Advanced Physics by BM Sharma + GMP Solutions) , Facebook Messenger WhatsApp Share this:TwitterFacebook Related