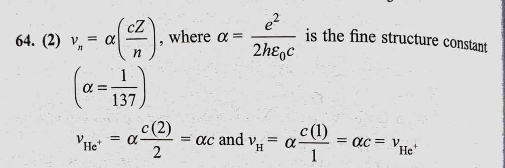
The velocity of an electron in the first orbit of H atom is v. The velocity of an electron in the second orbit of He+ is The velocity of an electron in the first orbit of H atom is v. The velocity of an electron in the second orbit of He+ is October 16, 2020 Category: Uncategorised (JEE Advanced Physics by BM Sharma + GMP Solutions) , Facebook Messenger WhatsApp Share this:TwitterFacebook Related