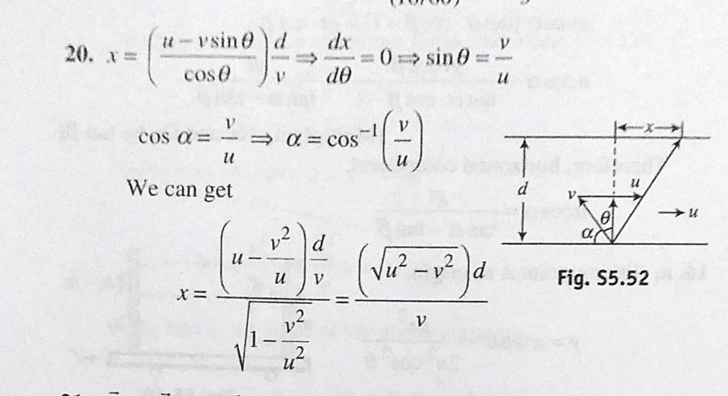
The velocity of a swimmer (v) in still water is less than the velocity of water (u) in a river. Show that the swimmer must aim himself at an angle cos^-1(v/u) with upstream in order The velocity of a swimmer (v) in still water is less than the velocity of water (u) in a river. Show that the swimmer must aim himself at an angle cos^-1(v/u) with upstream in order September 22, 2020 Category: Uncategorised (JEE Advanced Physics by BM Sharma + GMP Solutions) , Facebook Messenger WhatsApp Share this:TwitterFacebook Related