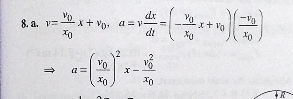
The velocity- displacement graph of a particle moving along a straight line is shown in Fig.A.53 The most suitable acceleration- displacement graph will be The velocity- displacement graph of a particle moving along a straight line is shown in Fig.A.53 The most suitable acceleration- displacement graph will be September 25, 2020 Category: Uncategorised (JEE Advanced Physics by BM Sharma + GMP Solutions) , Facebook Messenger WhatsApp Share this:TwitterFacebook Related