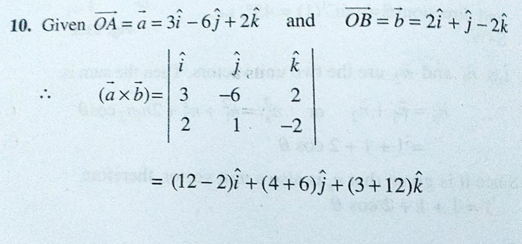
The vectors from origin to the point A and B are A = 3i – 6j + 2k and B = 2i + j – 2k, respectively. Find the area of the triangle OAB. respectively. Find the area of the triangle OAB. The vectors from origin to the point A and B are A = 3i - 6j + 2k and B = 2i + j - 2k September 16, 2020 Category: Uncategorised (JEE Advanced Physics by BM Sharma + GMP Solutions) , Facebook Messenger WhatsApp Share this:TwitterFacebook Related