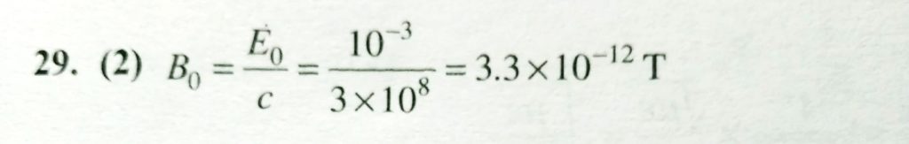
The transmitting antenna of a radio-station is mounted vertically. At a point electric field is 10Km1 due north of the treansmitter the peak electric field is 10^−3 volt/m meter. The amplitude of the radiated magnetic magnetic field is: The wave of wavelength 5900 A emitted by any atom or molecule must have some finite total length which known as coherence length. For sodium light this length is 2.4 cm. The number of oscillation in this length will be October 29, 2020 Category: Uncategorised (JEE Advanced Physics by BM Sharma + GMP Solutions) , Facebook Messenger WhatsApp Share this:TwitterFacebook Related