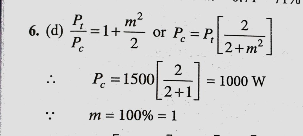
The total power content of an AM wave is 1500 W. For 100% modulation, the power transmitted by the carrier is the power transmitted by the carrier is The total power content of an AM wave is 1500 W. For 100% modulation October 22, 2020 Category: Uncategorised (JEE Advanced Physics by BM Sharma + GMP Solutions) , Facebook Messenger WhatsApp Share this:TwitterFacebook Related