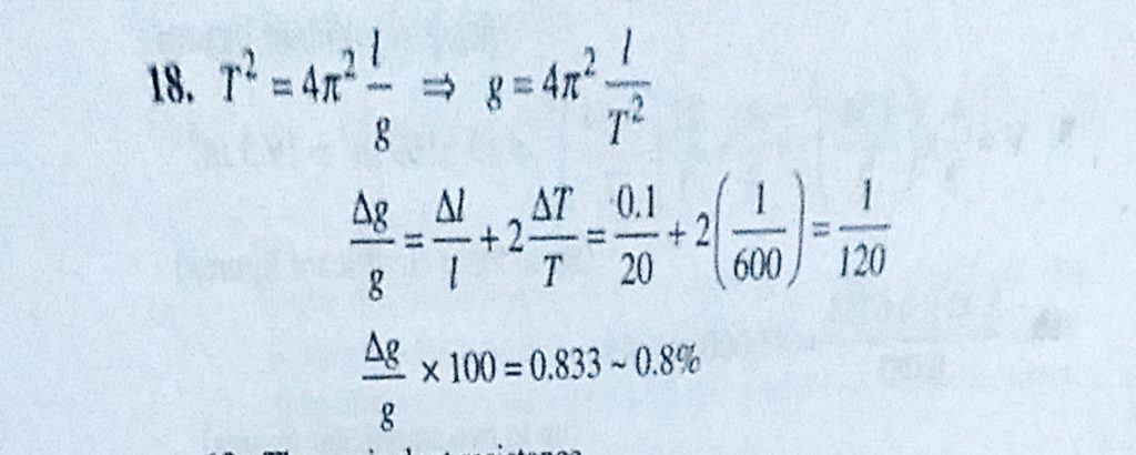
The time period of a pendulum is given by T = 2 pie root L/g. The length of pendulum is 20 cm and is measured up to 1 mm accuracy. The time period is about 0.6 s. The time of 100 oscillations The time period of a pendulum is given by T = 2 pie root L/g. The length of pendulum is 20 cm and is measured up to 1 mm accuracy. The time period is about 0.6 s. The time of 100 oscillations September 14, 2020 Category: Uncategorised (JEE Advanced Physics by BM Sharma + GMP Solutions) , Facebook Messenger WhatsApp Share this:TwitterFacebook Related